Online Database of Chemicals from Around the World

Carnosifloside VI
[CAS 109985-95-7]

Suppliers
CAS#: 109985-95-7
Product: Carnosifloside VI
No suppilers available for the product.
Identification
Name Carnosifloside VI
Synonyms (2R,3R,4S,5S,6R)-2-[[(3S,8S,9R,10R,11R,13R,14S,17R)-17-[(E,1R)-1,5-Dimethyl-6-[(2R,3R,4S,5S,6R)-3,4,5-Trihydroxy-6-[[(2R,3R,4S,5S,6R)-3,4,5-Trihydroxy-6-(Hydroxymethyl)Tetrahydropyran-2-Yl]Oxymethyl]Tetrahydropyran-2-Yl]Oxy-Hex-4-Enyl]-11-Hydroxy-4,4,9,13,14-Pentamethyl-2,3,7,8,10,11,12,15,16,17-Decahydro-1H-Cyclopenta[A]Phenanthren-3-Yl]Oxy]-6-(Hydroxymethyl)Tetrahydropyran-3,4,5-Triol; (2R,3R,4S,5S,6R)-2-[[(3S,8S,9R,10R,11R,13R,14S,17R)-17-[(E,1R)-1,5-Dimethyl-6-[[(2R,3R,4S,5S,6R)-3,4,5-Trihydroxy-6-[[(2R,3R,4S,5S,6R)-3,4,5-Trihydroxy-6-(Hydroxymethyl)-2-Tetrahydropyranyl]Oxymethyl]-2-Tetrahydropyranyl]Oxy]Hex-4-Enyl]-11-Hydroxy-4,4,9,13,14-Pentamethyl-2,3,7,8,10,11,12,15,16,17-Decahydro-1H-Cyclopenta[A]Phenanthren-3-Yl]Oxy]-6-(Hydroxymethyl)Tetrahydropyran-3,4,5-Triol; (2R,3R,4S,5S,6R)-2-[[(3S,8S,9R,10R,11R,13R,14S,17R)-17-[(E,1R)-1,5-Dimethyl-6-[(2R,3R,4S,5S,6R)-3,4,5-Trihydroxy-6-[[(2R,3R,4S,5S,6R)-3,4,5-Trihydroxy-6-Methylol-Tetrahydropyran-2-Yl]Oxymethyl]Tetrahydropyran-2-Yl]Oxy-Hex-4-Enyl]-11-Hydroxy-4,4,9,13,14-Pentamethyl-2,3,7,8,10,11,12,15,16,17-Decahydro-1H-Cyclopenta[A]Phenanthren-3-Yl]Oxy]-6-Methylol-Tetrahydropyran-3,4,5-Triol
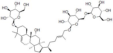
Molecular Structure CAS#: 109985-95-7, Carnosifloside VI
Molecular Formula C48H80O18
Molecular Weight 945.15
CAS Registry Number 109985-95-7
SMILES [C@]25([C@]([C@@H]1CC=C4[C@H]([C@@]1([C@@H](C2)O)C)CC[C@H](O[C@H]3[C@@H]([C@@H](O)[C@@H]([C@H](O3)CO)O)O)C4(C)C)(CC[C@@H]5[C@@H](CC/C=C(/CO[C@H]6[C@@H]([C@@H](O)[C@@H]([C@H](O6)CO[C@H]7[C@@H]([C@@H](O)[C@@H]([C@H](O7)CO)O)O)O)O)C)C)C)C
InChI 1S/C48H80O18/c1-22(20-61-42-40(59)38(57)35(54)29(65-42)21-62-43-39(58)36(55)33(52)27(18-49)63-43)9-8-10-23(2)24-15-16-46(5)30-13-11-25-26(48(30,7)31(51)17-47(24,46)6)12-14-32(45(25,3)4)66-44-41(60)37(56)34(53)28(19-50)64-44/h9,11,23-24,26-44,49-60H,8,10,12-21H2,1-7H3/b22-9+/t23-,24-,26-,27-,28-,29-,30+,31-,32+,33-,34-,35-,36+,37+,38+,39-,40-,41-,42-,43-,44+,46+,47-,48+/m1/s1
InChIKey WWDDJYHDZQBKBW-POHRRBMFSA-N
Properties
Density 1.393g/cm3 (Cal.)
Boiling point 1026.937°C at 760 mmHg (Cal.)
Flash point 574.871°C (Cal.)
Market Analysis Reports
Related Products
L-Carnitinemagn...  L-Carnitine Mag...  (S)-Carnitine M...  (S)-Carnitine M...  D-Carnitinenitr...  L-Carnitine oro...  Carnitine orota...  L-Carnitine-L-t...  Carnosic acid  Carnosic acid;(...  L-Carnosine;Car...  Carnosol  Carnosol  Carob gum;Carob...  Carocainide;1-[...  Carolignan M  Carolinianine;C...  Caronic anhydri...  Carotatoxin;1,1...  9-cis-beta-Caro...