Online Database of Chemicals from Around the World

(4Z,8S,9Z,11S,13R,14R)-1,5,11-Trimethyl-8-Propan-2-Yl-15-Oxabicyclo[12.1.0]Pentadeca-4,9-Diene-11,13-Diol
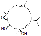
[CAS 107856-75-7]

Suppliers
CAS#: 107856-75-7
Product: (4Z,8S,9Z,11S,13R,14R)-1,5,11-Trimethyl-8-Propan-2-Yl-15-Oxabicyclo[12.1.0]Pentadeca-4,9-Diene-11,13-Diol
No suppilers available for the product.
Identification
Name (4Z,8S,9Z,11S,13R,14R)-1,5,11-Trimethyl-8-Propan-2-Yl-15-Oxabicyclo[12.1.0]Pentadeca-4,9-Diene-11,13-Diol
Synonyms (4Z,8S,9Z,11S,13R,14R)-8-Isopropyl-1,5,11-Trimethyl-15-Oxabicyclo[12.1.0]Pentadeca-4,9-Diene-11,13-Diol; 15-Oxabicyclo(12.1.0)Pentadeca-5,10-Diene-2,4-Diol, 4,10,14-Trimethyl-7-(1-Methylethyl)-, (1R-(1R*,2R*,4S*,5E,7S*,10R*))-; 7,8-Ecd
Molecular Structure CAS#: 107856-75-7, (4Z,8S,9Z,11S,13R,14R)-1,5,11-Trimethyl-8-Propan-2-Yl-15-Oxabicyclo[12.1.0]Pentadeca-4,9-Diene-11,13-Diol
Molecular Formula C20H34O3
Molecular Weight 322.49
CAS Registry Number 107856-75-7
SMILES [C@H]12OC1(CC\C=C(CC[C@H](\C=C/[C@@](O)(C[C@H]2O)C)C(C)C)\C)C
InChI 1S/C20H34O3/c1-14(2)16-9-8-15(3)7-6-11-20(5)18(23-20)17(21)13-19(4,22)12-10-16/h7,10,12,14,16-18,21-22H,6,8-9,11,13H2,1-5H3/b12-10-,15-7-/t16-,17-,18-,19-,20?/m1/s1
InChIKey RLYASSMUZMAUCA-FWNBTYLKSA-N
Market Analysis Reports
Related Products
Trimethyl-[2-(2...  1,2,4-Trimethyl...  1,2,4-Trimethyl...  1,7,11-Trimethy...  (1R,2R,3Z,5Z,9Z...  (1S,2Z,4E,8E,12...  2,5,5-Trimethyl...  (3S,5S,9R,10S,1...  (1R,3Z,7Z,11S,1...  (4aS,10aS)-1,1,...  Trimethyl-Propa...  Trimethyl-Propa...  1,3,9-Trimethyl...  Trimethyl(propa...  1,1'-(1,3,3-Tri...  1,3,5-Trimethyl...  Trimethyl-[(Pro...  N,N,2-Trimethyl...  N,N,N-Trimethyl...  1,2,3-Trimethyl...