Online Database of Chemicals from Around the World

17,18-Dichloro-7-ethyldodecahydro-10,13-bis(hydroxymethyl)-3-phenylpyrrolo(2,1-c)(1,4,7,10,13)pentaazacyclohexadecine-1,5,8,11,14(2H)-pentone
[CAS 10089-09-5]

Suppliers
CAS#: 10089-09-5
Product: 17,18-Dichloro-7-ethyldodecahydro-10,13-bis(hydroxymethyl)-3-phenylpyrrolo(2,1-c)(1,4,7,10,13)pentaazacyclohexadecine-1,5,8,11,14(2H)-pentone
No suppilers available for the product.
Identification
Name 17,18-Dichloro-7-ethyldodecahydro-10,13-bis(hydroxymethyl)-3-phenylpyrrolo(2,1-c)(1,4,7,10,13)pentaazacyclohexadecine-1,5,8,11,14(2H)-pentone
Synonyms 17,18-Dichloro-9-Ethyl-3,6-Dimethylol-13-Phenyl-1,4,7,10,14-Pentazabicyclo[14.3.0]Nonadecane-2,5,8,11,15-Pentone; 17,18-Dichloro-7-Ethyldodecahydro-10,13-Bis(Hydroxymethyl)-3-Phenylpyrrolo(2,1-C)(1,4,7,10,13)Pentaazacyclohexadecine-1,5,8,11,14(2H)-Pentone; Pyrrolo(2,1-C)(1,4,7,10,13)Pentaazacyclohexadecine-1,5,8,11,14(2H)-Pentone, 17,18-Dichloro-7-Ethyldodecahydro-10,13-Bis(Hydroxymethyl)-3-Phenyl-
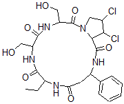
Molecular Structure CAS#: 10089-09-5, 17,18-Dichloro-7-ethyldodecahydro-10,13-bis(hydroxymethyl)-3-phenylpyrrolo(2,1-c)(1,4,7,10,13)pentaazacyclohexadecine-1,5,8,11,14(2H)-pentone
Molecular Formula C24H31Cl2N5O7
Molecular Weight 572.44
CAS Registry Number 10089-09-5
SMILES C3=C(C1NC(=O)C2N(C(=O)C(NC(=O)C(NC(=O)C(NC(=O)C1)CC)CO)CO)CC(Cl)C2Cl)C=CC=C3
InChI 1S/C24H31Cl2N5O7/c1-2-14-21(35)29-16(10-32)22(36)30-17(11-33)24(38)31-9-13(25)19(26)20(31)23(37)28-15(8-18(34)27-14)12-6-4-3-5-7-12/h3-7,13-17,19-20,32-33H,2,8-11H2,1H3,(H,27,34)(H,28,37)(H,29,35)(H,30,36)
InChIKey AIUAVRQIJPKJTG-UHFFFAOYSA-N
Properties
Density 1.474g/cm3 (Cal.)
Boiling point 1056.901°C at 760 mmHg (Cal.)
Flash point 592.992°C (Cal.)
Market Analysis Reports
Related Products
1,2-Dichloro-N<...  2,2-Dichloro-1-...  5,6-Dichloro-1-...  [(6,7-Dichloro-...  2-[3-[5,6-Dichl...  2-[3-[5,6-Dichl...  2-[3-[5,6-Dichl...  3,5-Dichloro-N-...  1,1-Dichloro-1-...  8,8-Dichloro-4-...  cis-Dichloroeth...  trans-1,2-Dichl...  1,1-Dichloroeth...  Dichloro-(S,S)-...  Dichloro-(R,R)-...  cis-Dichloro(et...  1,1-Dichloroeth...  2,4-Dichloro-6-...  2,2-Dichloro-N-...  3,5-Dichloro-4-...