Online Database of Chemicals from Around the World

Leucanicidin SDS (CAS 91021-66-8)

This page provides the Safety Data Sheet (SDS) for Leucanicidin (CAS 91021-66-8), including information on hazards, first-aid measures, storage, handling requirements, and more. Users may download the SDS file free of charge for laboratory or industrial reference.

Product Info

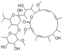
structure of CAS# 91021-66-8, Leucanicidin;(3E,5E,11E,13Z)-16-[4-[4-(4,5-Dihydroxy-3-Methoxy-6-Methyloxan-2-Yl)Oxy-2-Hydroxy-5-Methyl-6-Propan-2-Yloxan-2-Yl]-3-Hydroxypentan-2-Yl]-8-Hydroxy-3,15-Dimethoxy-5,7,9,11-Tetramethyl-1-Oxacyclohexadeca-3,5,11,13-Tetraen-2-One;(3E,5E,11E,13E)-16-[3-[4-(4,5
Product Name Leucanicidin
CAS Registry Number 91021-66-8
Molecular Formula C42H70O13
Molecular Weight 783.01
More information of Leucanicidin
 
Source SDS Document
Cayman
www.caymanchem.com/msdss/25479m.pdf
View / download

Disclaimer

The SDS samples above are collected from the Internet by chemBlink and displayed here for the tutorial purpose only. chemBlink LLC provides the information contained herein in good faith but makes no representation as to its comprehensiveness or accuracy. Read full context...



Frequently Asked Questions (FAQ)
What is an SDS?   How do I download an SDS?   Are SDSs free?   What is the difference between SDS and MSDS?



More SDS files for chemicals
5'-Deoxy-5-fluo...   [(1S)-6,6'-Dime...   Sodium...   2-Benzoylpyridi...   (2R)-2-Acetoxy-...   CGI-1746   4,4,5,5-tetrame...   Potassium...   Potassium...   1-Benzyl-3,4-di...