Online Database of Chemicals from Around the World

Mogroside V SDS (CAS 88901-36-4)

This page provides the Safety Data Sheet (SDS) for Mogroside V (CAS 88901-36-4), including information on hazards, first-aid measures, storage, handling requirements, and more. Users may download the SDS file free of charge for laboratory or industrial reference.

Product Info

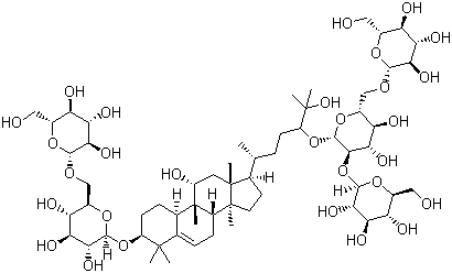
structure of CAS# 88901-36-4, Mogroside V;Momordica Extract
Product Name Mogroside V
CAS Registry Number 88901-36-4
Molecular Formula C60H102O29
Molecular Weight 1287.43
More information of Mogroside V
 
Source SDS Document
Sigma-Aldrich
www.sigmaaldrich.com/catalog/Lookup.do?N5=All&N3=mode+matchpartialmax&N1=S_ID&ST=RS&N25=0&F=PR&D7=0&N4=88901-36-4
View / download
Cayman
www.caymanchem.com/msdss/19853m.pdf
View / download

Disclaimer

The SDS samples above are collected from the Internet by chemBlink and displayed here for the tutorial purpose only. chemBlink LLC provides the information contained herein in good faith but makes no representation as to its comprehensiveness or accuracy. Read full context...



Frequently Asked Questions (FAQ)
What is an SDS?   How do I download an SDS?   Are SDSs free?   What is the difference between SDS and MSDS?



More SDS files for chemicals
(S)-1-N-Fmoc-2-...   (S)-1-Boc-2-pro...   Atrial...   Bafilomycin A1   Setamycin   Mogroside...   Mogroside II-A2   Xestospongin C   N-tert-Butyl-3-...   4-(1,3-Dioxo-1H...