Online Database of Chemicals from Around the World

Polygalaxanthone III SDS (CAS 162857-78-5)

This page provides the Safety Data Sheet (SDS) for Polygalaxanthone III (CAS 162857-78-5), including information on hazards, first-aid measures, storage, handling requirements, and more. Users may download the SDS file free of charge for laboratory or industrial reference.

Product Info

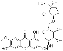
structure of CAS# 162857-78-5, Polygalaxanthone III;2-(6-O-D-Apio-beta-D-furanosyl-beta-D-glucopyranosyl)-1,3,6-trihydroxy-7-methoxy-9H-xanthen-9-one
Product Name Polygalaxanthone III
CAS Registry Number 162857-78-5
Molecular Formula C25H28O15
Molecular Weight 568.48
More information of Polygalaxanthone III
 
Source SDS Document
Sigma-Aldrich
www.sigmaaldrich.com/catalog/Lookup.do?N5=All&N3=mode+matchpartialmax&N1=S_ID&ST=RS&N25=0&F=PR&D7=0&N4=162857-78-5
View / download

Disclaimer

The SDS samples above are collected from the Internet by chemBlink and displayed here for the tutorial purpose only. chemBlink LLC provides the information contained herein in good faith but makes no representation as to its comprehensiveness or accuracy. Read full context...



Frequently Asked Questions (FAQ)
What is an SDS?   How do I download an SDS?   Are SDSs free?   What is the difference between SDS and MSDS?



More SDS files for chemicals
2-Bromo-3-metho...   (2S,3S,5S)-5-(t...   N-Benzyltetrahy...   8-Oxo-8-(phenyl...   Thieno[3,2-d]py...   Olopatadine...   (2S)-Amino(3,5-...   Olinciguat   10-(4-(4,6-Diph...   Cy5.5 alkyne