Online Database of Chemicals from Around the World

Mogroside III SDS (CAS 130567-83-8)

This page provides the Safety Data Sheet (SDS) for Mogroside III (CAS 130567-83-8), including information on hazards, first-aid measures, storage, handling requirements, and more. Users may download the SDS file free of charge for laboratory or industrial reference.

Product Info

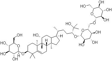
structure of CAS# 130567-83-8, Mogroside III;(3beta,9beta,10alpha,11alpha,24R)-3-(beta-D-Glucopyranosyloxy)-11,25-dihydroxy-9-methyl-19-norlanost-5-en-24-yl 6-O-beta-D-glucopyranosyl-beta-D-glucopyranoside
Product Name Mogroside III
CAS Registry Number 130567-83-8
Molecular Formula C48H82O19
Molecular Weight 963.15
More information of Mogroside III
 
Source SDS Document
Ambeed
file.ambeed.com/static/upload/prosds/am/505/SDS-A504656.pdf
View / download

Disclaimer

The SDS samples above are collected from the Internet by chemBlink and displayed here for the tutorial purpose only. chemBlink LLC provides the information contained herein in good faith but makes no representation as to its comprehensiveness or accuracy. Read full context...



Frequently Asked Questions (FAQ)
What is an SDS?   How do I download an SDS?   Are SDSs free?   What is the difference between SDS and MSDS?



More SDS files for chemicals
2-Oxazolemethan...   2-Iodo-1-Methyl...   2-Methyl-5-(tri...   3-Chloro-4-Fluo...   Calcium...   5,6-Dichloroind...   2-Propenoic...   6-Benzoxazoleca...   Bromomethyl...   Methoxymethyl...