Online Database of Chemicals from Around the World

BisTris chloride SDS (CAS 124763-51-5)

This page provides the Safety Data Sheet (SDS) for BisTris chloride (CAS 124763-51-5), including information on hazards, first-aid measures, storage, handling requirements, and more. Users may download the SDS file free of charge for laboratory or industrial reference.

Product Info

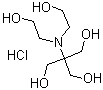
structure of CAS# 124763-51-5, BisTris chloride;2-[Bis(2-hydroxyethyl)amino]-2-(hydroxymethyl)-1,3-propanediol hydrochloride
Product Name BisTris chloride
CAS Registry Number 124763-51-5
Molecular Formula C8H19NO5.HCl
Molecular Weight 245.70
More information of BisTris chloride
 
Source SDS Document
Sigma-Aldrich
www.sigmaaldrich.com/catalog/Lookup.do?N5=All&N3=mode+matchpartialmax&N1=S_ID&ST=RS&N25=0&F=PR&D7=0&N4=124763-51-5
View / download
Apollo
www.apolloscientific.co.uk/downloads/msds/BI5923_msds.pdf
View / download

Disclaimer

The SDS samples above are collected from the Internet by chemBlink and displayed here for the tutorial purpose only. chemBlink LLC provides the information contained herein in good faith but makes no representation as to its comprehensiveness or accuracy. Read full context...



Frequently Asked Questions (FAQ)
What is an SDS?   How do I download an SDS?   Are SDSs free?   What is the difference between SDS and MSDS?



More SDS files for chemicals
N-(1,3-Dihydrox...   Ethyl [Bis(2,2,...   Binospirone...   N-L-Tyrosyl-alp...   7-[[2-(Acetylam...   DL-Isoborneol   9-(3-Deoxy-3-fl...   (2R)-2-[[(9H-Fl...   1-[5-[(2,4-Difl...   4-Cyano-5-[(3,5...